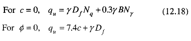
given earlier. The same equations can be modified to give equations for cohesionless soil (for c = 0)
and cohesive soils (for Ø = 0) as follows.
It may be noted here that for c = 0, the value of Nc = 0, and for Ø=0, the value of NC = 5.7 for a strip footing and Nq = 1.
a) Strip Footing
b) Square Footing
c) Circular Footing
d) Rectangular Footing
Similar types of equations as presented for general shear failure can be developed for local shear failure also.




No comments:
Post a Comment